logo 空中相遇
  • 首页
  • 歌词
    • 所有歌词
    • 迦南诗选歌词
    • 小草诗歌歌词
    • 800首和弦歌词
    • 赞美诗歌1218
  • 诗歌本歌谱
    • 福音诗歌
    • 经文诗歌
    • 迦南诗歌
    • 赞美诗歌1218首
    • 雅歌祷告诗
    • 赞美之泉歌谱
    • 红本诗歌
    • 所有歌谱
  • 赞美团歌谱
    • 赞美之泉歌谱
    • 儿童天地诗歌集
    • 颂赞创作诗歌歌谱
    • 小羊诗歌歌谱
    • 雁子音乐歌谱
  • 电影
    • 午夜前三分钟 – 以色列复国
    • 基督教电影
    • 乐曲
    • 免责声明
    • 钢琴谱制作

经上说:我喜爱怜恤,不喜爱祭祀。这句话的意思,你们且去揣摩。我来,本不是召义人,乃是召罪人去悔改。

马太福音9章13节

  1. 歌谱
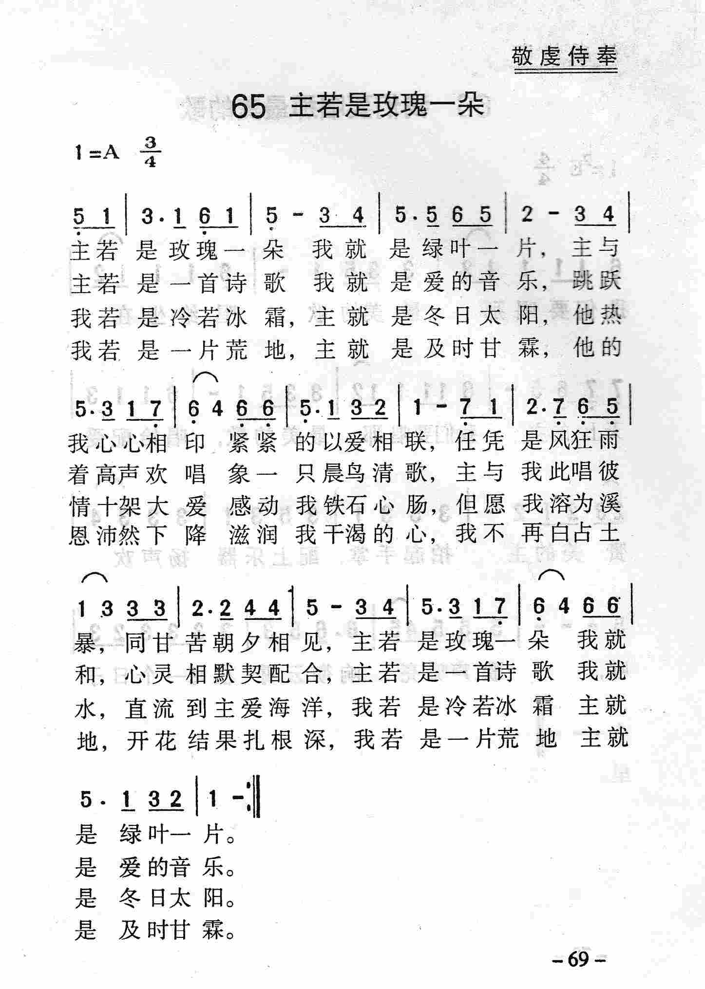
  2. 第65首 – 主若是玫瑰一朵

第65首 – 主若是玫瑰一朵

peter 2018-05-11
阅读:898
深渊向深渊呼唤

《第65首 - 主若是玫瑰一朵》

标签:

敬拜歌词歌谱赞美

相关文章

  • 敬拜涌流 官方和弦简谱
  • 雅歌 官方简谱
  • 第1563首 – 我的心默默无声 和弦简谱
  • 第1564首 – 一日胜千日 和弦简谱
  • 第439首 – 一切都更新 和弦简谱
  • 第995首 – 爱是什么 和弦简谱
  • 第3863首 – 有福确据歌(WESEEK版)和弦简谱
  • 第3862首 – 圣哉三一歌(WESEEK版)和弦简谱
上一篇:赞美祢 下一篇:第217首 – 释放我的灵

最新文章New Articles

  • 敬拜涌流 官方和弦简谱
  • 雅歌 官方简谱
  • 第1563首 – 我的心默默无声 和弦简谱
  • 第1564首 – 一日胜千日 和弦简谱
  • 第439首 – 一切都更新 和弦简谱

免责声明 : 本站的所有内容来自网络,若侵犯版权问题,请发邮件给本站,会及时删除所侵犯的内容!

Copyright © 2015-2025 iwtfly.com All rights reserved.